503 Service Temporarily Unavailable

503 Service Temporarily Unavailable


nginx
503 Service Temporarily Unavailable

503 Service Temporarily Unavailable


nginx

Los 20 pilotos más seguidos en redes

La década termina y te contamos quiénes fueron los pilotos en acumular mayor cantidad de seguidores en sus redes sociales

Gaby Manzo
Publicado:
El ganador de la carrera Lewis Hamilton, Mercedes-AMG F1 celebra con una selfie en parc ferme

Las redes sociales dejaron de verse como un mundo paralelo a la vida real y hoy en día forman parte de la cotidianidad de personajes públicos. Los pilotos de más alto rendimiento no escapan al auge de estar presentes en las redes más importantes y sus publicaciones suelen servir para ver lo que hacen dentro y fuera de pista, conocer sus entornos y a veces hasta son usados como ventana para la publicación de importantes anuncios sobre sus carreras y futuro.

No es casualidad que la lista la lideren los dos pilotos que recientemente realizaron uno de los intercambios de máquinas más esperados de los últimos tiempos: Valentino Rossi y Lewis Hamilton. Ambos suman cerca de 46 millones de seguidores, el mismo número de habitantes estimado en España en 2019. Pero no sólo es lo abultada de la cifra, es que entre sus seguidores destacan figuras de la talla de Neymar, Nadal, Will Smith, 

Si bien el italiano prefiere las publicaciones más relacionadas a su vida encima de la Yamaha, una que otra vez se retrata con su novia, Francesca Sofia Novello, o en juntadas con amigos. El uso que Hamilton da a sus redes, principalmente Instagram, está más enfocado en mensajes que buscan generar conciencia sobre el medio ambiente y la contaminación, eventos de moda, retratos con celebridades de la talla de Elton John, y sus perros (Coco y Rosco). En 2017, Hamilton realizó un posteo que recibió duras críticas y por el que decidió borrar todas las fotos que había publicado hasta ese momento.

Del editor, también lee:

Apenas en el puesto 7 llega a aparecer un piloto que no pertenece a MotoGP ni Fórmula 1, Dale Earnhardt Jr. de NASCAR. En el apartado latinoamericano, Massa y Barrichello se llevan los mejores lugares, siendo respaldados por una gran masa de fanáticos brasileños que siguen su cotidianidad más allá del Gran Circo.

Kimi Raikkonen no logró meterse en nuestro ranking pero merece una mención especial pues aunque no tiene cuenta verificada en Facebook ni Twitter, sus posteos en Instagram le valen la cantidad de 1.754.651 seguidores. Allí suele dejar ver un poco más de su vida privada, como esposo y padre.

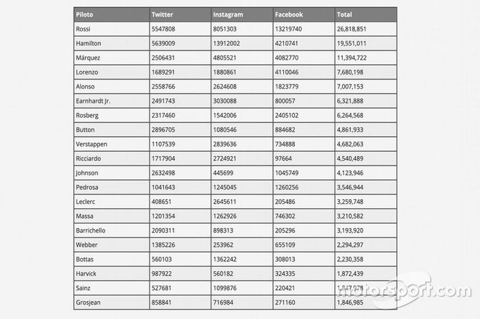
Estos son los pilotos más seguidos en redes sociales (actualizado diciembre 2019)

#20 Romain Grosjean, Haas F1
1,846,985 Seguidores en RS
#19 Carlos Sainz Jr.
1,847,978 Seguidores en RS
#18 Kevin Harvick
1,872,439 Seguidores en RS
#17 Valtteri Bottas
2,230,358 Seguidores en RS
#16 Mark Webber
2,294,297 Seguidores en RS
#15 Rubens Barrichello
3,193,920 Seguidores en RS
#14 Felipe Massa
3,210,582 Seguidores en RS
#13 Charles Leclerc
3,259,748 Seguidores en RS
#12 Dani Pedrosa
3,546,944 Seguidores en RS
#11  Jimmie Johnson
4,123,946 Seguidores en RS
#10 Daniel Ricciardo
4,540,489 Seguidores en RS
#9 Max Verstappen
4,682,063 Seguidores en RS
#8 Jenson Button
4,861,933 Seguidores en RS
#7 Nico Rosberg
6,264,568 Seguidores en RS
#6 Dale Earnhardt Jr.
6,321,888 Seguidores en RS
#5 Fernando Alonso
7,007,153 Seguidores en RS
#4 Jorge Lorenzo
7,680,198 Seguidores en RS
#3 Marc Márquez
11,394,722 Seguidores en RS
#2 Lewis Hamilton
19,551,011 Seguidores en RS
#1 Valentino Rossi
26,818,851 Seguidores en RS
Top20 de los pilotos en Redes Sociales
21
 
503 Service Temporarily Unavailable

503 Service Temporarily Unavailable


nginx
Artículo previo Los 20 cambios de pilotos que marcarán el 2020
Artículo siguiente 'Mirada 2020, calendario en modo a Vietnam'

Comentarios destacados

Regístrate gratis

  • Accede rápidamente a tus artículos favoritos

  • Gestión de alertas sobre noticias de última hora y pilotos favoritos

  • Haz que se oiga tu voz comentando artículos.

Edición

Latinoamérica Latinoamérica
Filtros